Пенополиуретаны на основе олигоэфирных продуктов деструкции вторичного полиэтилентерефталата
УДК 678.686-405.8
POLYURETHANE FOAMS ON THE BASIS OF OLYGOESTERS PRODUCTS OF THE DESTRUCTION OF SECONDARY POLYETHYLENE TEREPHTHALATE
Д.А. Панфилов, И.М. Дворко, канд.техн.наук
Санкт-Петербургский государственный технологический институт
(технический университет)
Представлены результаты исследований пенополиуретанов, полученных с использованием олигоэфирных продуктов деструкции вторичного полиэтилентерефталата. Показано, что применение олигоэфиров на основе полиэтилентерефталата позволяет получать пенополиуретаны с высокими эксплуатационными свойствами.
Ключевые слова: олигоэфиры, пенополиуретаны, полиэтилентерефталат, разрушающее напряжение при сжатии, водопоглощение.
Authors: Panfilov D.A., Dvorko I.M.- Ph.D.
(Saint-Petersburg State Institute of Technology (Technical University), Saint-Petersburg, Russian Federation)
Annotation: Results of researches of the polyurethane foams prepared with use the olygoesters products of a destruction of secondary polyethyleneterephthalate are presented. The application oligoesters on the basis of polyethyleneterephthalate allows to prepare polyurethane foams with high operational properties is shown.
Keywords: olygoesters, polyurethane foams, polyethyleneterephthalate, ultimate compression strength, water absorption.
Использование вторичного полиэтилентерефталата (ПЭТ), который образуется в виде бытовых отходов упаковочных материалов и изделий является актуальной задачей.
В данной работе предложены олигомерные продукты разложения ПЭТ для вспенивающихся полиуретановых композиций, представляющие собой смесь сложных и простых гидроксилсодержащих олигоэфиров, получаемых из ПЭТ в одну стадию.
Синтез олигоэфиров (ОЭФ) проводили путём нагревания двух вариантов смесей: 1) ПЭТ, глицерина (ГЛН) и олигопропиленполиолов; 2) ПЭТ и олигопропиленполиолов.
В качестве трехфукциональных гидроксилсодержащих олигопропиленполиолов использовали Лапрол 373 и Лапрол 503, а в качестве дифункционального - Лапрол 202. Для получения смеси олигоэфиров с минимально возможной технологической вязкостью при максимальном содержании ПЭТ, предварительным экспериментом было определено содержание ПЭТ в смеси 33-50 мас.%. В качестве катализатора деструкции использовали диацетат цинка в количестве 0,5 % от массы загрузки компонентов.
Получение олигоэфирных продуктов деструкции ПЭТ проводили методом сплавления смеси компонентов при 230-250С в течение 1 ч. С целью исключения контакта и окисления реагирующих компонентов с кислородом воздуха процесс проводили с использованием потока диоксида углерода над поверхностью реакционной массы.
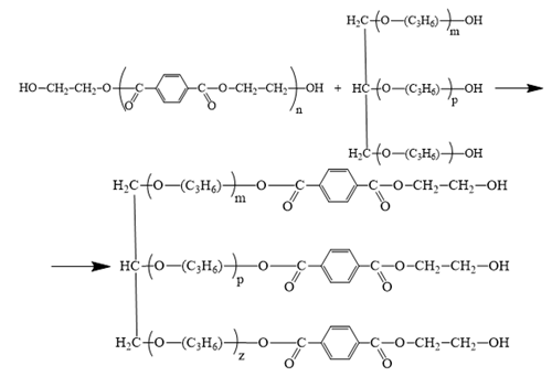
При температурах более 180 ºС наиболее вероятны реакции переэтерификации ПЭТ и глицерина, а также ПЭТ и олигопропиленполиолов. Исходя из этого можно предположить, что в результате взаимодействия могут быть получены олигоэфиры следующего строения [1]:
При взаимодействии ПЭТ и глицерина:

При взаимодействии ПЭТ и олигопропилентриола:

Синтезированные олигоэфирные продукты деструкции имели сравнительно невысокую вязкость, которую определяли при 25ºС на ротационном вискозиметре марки «Полимер РПЭ-1М» (табл. 1).
Таблица 1. Рецептуры получения олигоэфиров и их вязкость
| Содержание исходных компонентов, мас.ч. |
Динамичес-кая вязкость |
||||
| ПЭТ | Глицерин | Лапрол-202 | Лапрол-373 | Лапрол-503 | |
| 49,8 | 16,1 | 34,1 | - | - | 5,04 |
| 49,7 | 8,0 | 42,3 | - | - | 4,82 |
| 43,5 | 7,0 | 45,1 | 4,4 | - | 4,54 |
| 45,2 | 7,2 | 47,6 | - | - | 4,26 |
| 37,0 | 7,4 | ||||
| 36,9 | 7,6 | - | 55,6 | - | 12,86 |
| 36,6 | 37,8 | - | - | 25,6 | 21,26 |
| 35,1 | 12,3 | - | - | 52,6 | 4,84 |
| Без глицерина | |||||
| 37,7 | - | 37,8 | 24,5 | - | 4,23 |
| 35,1 | - | 35,1 | - | 29,8 | 3,34 |
| 35,0 | - | 38,1 | 26,0 | 4,52 | |
| 34,0 | 28,5 | - | 37,5 | 4,12 | |
| 33,5 | 28,1 | 38,4 | 3,92 | ||
Необходимо отметить, что важной особенностью синтезированных олигоэфиров является возможность разбавления их дополнительным количеством олигопропиленполиолов для регулирования динамической вязкости.
Получение образцов жестких пенопластов проводили по стандартной методике [2] смешением компонентов при 20-22С. В качестве компонента смеси использовали полиизоцианат марки Б, а в качестве катализатора 2,4,6-трис-(диметиламинометил)-фенол (продукт УП-606/2). В качестве химического газообразователя использовали добавки воды.
Несколько примеров свойств пеноматериалов, полученных на основе синтезированных олигоэфирных продуктов деструкции ПЭТ с использованием глицерина и без него представлены в табл. 2 и табл.3.
Сравнительный анализ свойств полученных пеноматериалов свидетельствует, что применение олигоэфирных продуктов на основе ПЭТ, синтезированных с использованием различных смесей глицерина и лапролов позволяет получать ППУ с удовлетворительными свойствами.
Таблица 2. Свойства ППУ с применением глицерина и лапролов при синтезе ОЭФ
| Состав и содержание смеси при синтезе ОЭФ | Кажущаяся плотность кг/м3 |
Напряжение сжатия при 10 % деформации, МПа |
Водопоглощение, за 24 ч объем. % |
Содержание ПЭТ в ППУ % |
|
| компоненты | мас. % | ||||
| ПЭТ | 43,5 | 82-88 | 0,69-0,76 | 1,8-2,6 | 18,8 |
| ГЛН | 7,0 | 55-63 | 0,42-0,51 | 2,9-3,5 | 18,7 |
| Л-202 | 45,1 | 48-53 | 0,39-0,45 | 3,7-4,1 | 18,7 |
| Л-373 | 4,4 | 41-46 | 0,27-0,36 | 3,9-4,4 | 18,6 |
| 33-39 | 0,14-0,26 | 4,3-4,8 | 18,5 | ||
| ПЭТ | 37,0 | 64-73 | 0,47-0,56 | 2,9-3,7 | 15,5 |
| ГЛН | 7,4 | 51-62 | 0,40-0,51 | 3,8-4,4 | 15,4 |
| Л–373 | 55,6 | 42-48 | 0,37-0,42 | 4,1-5,4 | 15,4 |
| 34-37 | 0,33-0,39 | 5,2-6,1 | 15,3 | ||
| 81-86 | 0,64-0,72 | 1,4-1,8 | 14,6 | ||
| ПЭТ | 35,1 | 56-62 | 0,27-0,47 | 2,1-2,5 | 13,6 |
| ГЛН | 12,3 | 48-54 | 0,27-0,38 | 3,2-3,7 | 13,3 |
| Л-503 | 52,6 | 40-46 | 0,28-0,35 | 3,5-4,2 | 10,2 |
| 34-38 | 0,10-0,13 | 3,8-4,4 | 8,4 | ||
Таблица 3. Свойства ППУ с применением лапролов при синтезе ОЭФ
| Состав и содержание смеси при синтезе ОЭФ | Кажущаяся плотность кг/м3 |
Напряжение сжатия при 10 % деформации, МПа |
Водопоглощение, за 24 ч объем. % |
Содержание ПЭТ в ППУ % |
|
| компоненты | мас. % | ||||
| 68-76 | 0,43-0,52 | 1,3-1,7 | 14,8 | ||
| ПЭТ | 35,3 | 54-62 | 0,36-0,39 | 1,9-2,3 | 14,7 |
| Л-503 | 29,4 | 46-51 | 0,31-0,35 | 2,1-2,7 | 14,6 |
| Л-202 | 35,3 | 38-45 | 0,23-0,27 | 2,5-2,9 | 14,5 |
| 33-39 | 0,19-0,24 | 3,2-3,8 | 14,5 | ||
| 150-154 | 1,92-1,96 | 0,6-0,8 | 19,6 | ||
| ПЭТ | 37,7 | 102-106 | 1,05-1,30 | 0,9-1,2 | 18,8 |
| Л–202 | 37,8 | 82-86 | 0,75-0,86 | 1,3-1,6 | 18,3 |
| Л-503 | 24,5 | 45-49 | 0,36-0,44 | 1,8-2,4 | 16,2 |
| 32-37 | 0,16-0,25 | 2,2-2,9 | 14,5 | ||
| 101-104 | 0,95-1,23 | 1,1-1,4 | 18,6 | ||
| ПЭТ | 35,0 | 81-87 | 0,72-0,82 | 1,3-1,9 | 17,9 |
| Л-373 | 38,1 | 52-58 | 0,47-0,51 | 1,6-2,3 | 14,4 |
| Л-503 | 26,9 | 43-48 | 0,34-0,42 | 1,9-2,6 | 14,2 |
| 34-41 | 0,15-0,24 | 2,4-3,1 | 14,1 | ||
Анализ результатов испытаний свойств пенопластов, содержащих олигоэфиры на основе продуктов деструкции ПЭТ показывает, что прочность при сжатии образцов начинает заметно возрастать при содержании остатков ПЭТ в пенополимере более 14 мас.% (рис. 1). Разрушающее напряжение при сжатии образцов с кажущейся плотностью 38-42 кг/м3 повышается с 0,22-0,24 до 0,40-0,42 МПа. Причем образцы ППУ, полученные из олигоэфиров на основе смесей глицерина, лапролов и ПЭТ имеют несколько более высокую прочность, чем образцы полученные с использованием смеси ПЭТ только с лапролами. Можно предположить, что это связано с более высокой частотой и жесткостью полимерной сетки образующейся при использовании олигоэфиров, полученных с применение смесей глицерина и лапролов.

Рис.1. Зависимость разрушающего напряжения при сжатии образцов ППУ от содержания вторичного ПЭТ.
Содержание компонентов в смеси с ПЭТ при получении олигоэфиров:
1 – смесь глицерина и лапролов; 2 – смесь лапролов.
Изучение водопоглощения образцов пенополиуретанов в зависимости от содержания вторичного ПЭТ в пенопласте показало, что пенопласты, содержащие олигоэфиры, полученные с использование смесей глицерина и лапролов имеют более высокое водопоглощение, чем пенопласты содержащие олигоэфиры без применения глицерина (рис. 2). Это можно объяснить повышенной гидрофильностью полимерной сетки, содержащей остатки глицерина. Во всех случаях водопоглощение образцов уменьшается с повышением содержания остатков вторичного ПЭТ в пенопласте.

Рис. 2. Зависимость водопоглощения образцов ППУ от содержания вторичного ПЭТ.
Содержание компонентов в смеси с ПЭТ при получении олигоэфиров:
1 – смесь лапролов; 2 – смесь глицерина и лапролов.
Представленные результаты позволяют сделать вывод, что использование вторичного ПЭТ для получения олигоэфирных продуктов – компонентов для производства пенополиуретанов теплоизоляционного назначения является перспективным направлением.
Литература
- Вторичная переработка пластмасс / Ф. Ла Мантия (ред); пер. с англ. Под ред. Г.Е. Заикова.- СПб.: Профессия, 2007.- 400 с.
- Практикум по полимерному материаловедению/ Под ред. П.Г. Бабаевского.- М.: Химия, 1980. 256 с.
